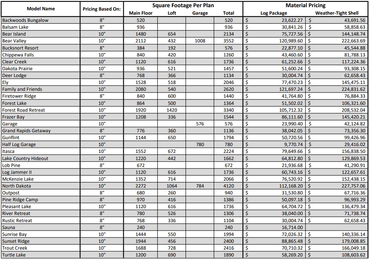
At Voyageur Log Homes we pride ourselves on offering unlimited flexibility in product procurement. We stock a wide variety of logs, timbers, half logs, fasteners, insulation, and other log related products. The pricing guide below provides pricing for complete log and weather-tight material packages for each of our models.
The log material packages include all of the required log components to assemble each home. This typically includes full log walls, log loft beams, log posts, and log rafters.
The weather-tight material packages include everything in the log material packages plus all aditional items required to enclose the structure with the exception of windows and doors. Packages typically include full log walls, log loft beams, loft flooring, log rafters, ceiling paneling, rigid foam roof insulation, 5/8 roof sheeting, subfascia, fascia, gable framing, gable sheeting, exterior gable 1/2 log, dormer framing, sheeting, & exterior 1/2 log, dormer saddle notch full log corners, window & door installation components and exterior window & door trim.
Pricing is based on our Round, double-tongue-and-groove profile. For window quotes, labor information, and line item estimation on these or any custom plan, please be sure to contact us!
